ヴュルツブルグに転職して半年が経とうとしていた2016年3月、就労ビザの延長申請を行った。
前回の変更申請(ドイツで働く その3 転職 ; 就労ビザの変更申請)でもそうだったけど、手こずるイメージしかないビザ絡みの申請。そんな嫌気しか起きないビザ申請が、今回はとってもとってもスムーズに完了。スムーズに進んだら進んだで、ブログ情報としては物足りないのかもしれないけど、、、たまにはこんなのも無いとやってられないわけで。。そんな、ドイツでの成長を感じたビザ延長申請について書いてみたい。
就職に関する話はこちらも参照。
1.申請から受取までの日程
ビザの有効期限が4月7日。に対して以下の日程で申請を行い、期限までに無事にビザを受領できた。
1) 申請用紙受取のためにRathausへ : 3月1日
2) 延長申請 : 3月4日
3) Online用パスワード受領(手紙) : 3月21日
4) ビザ受領 : 4月6日
申請から受領まで1か月ほど。本当は、3)手紙 を受領した数日後からカードの受取が出来るので、最短では、約3週間で完了していた案件。
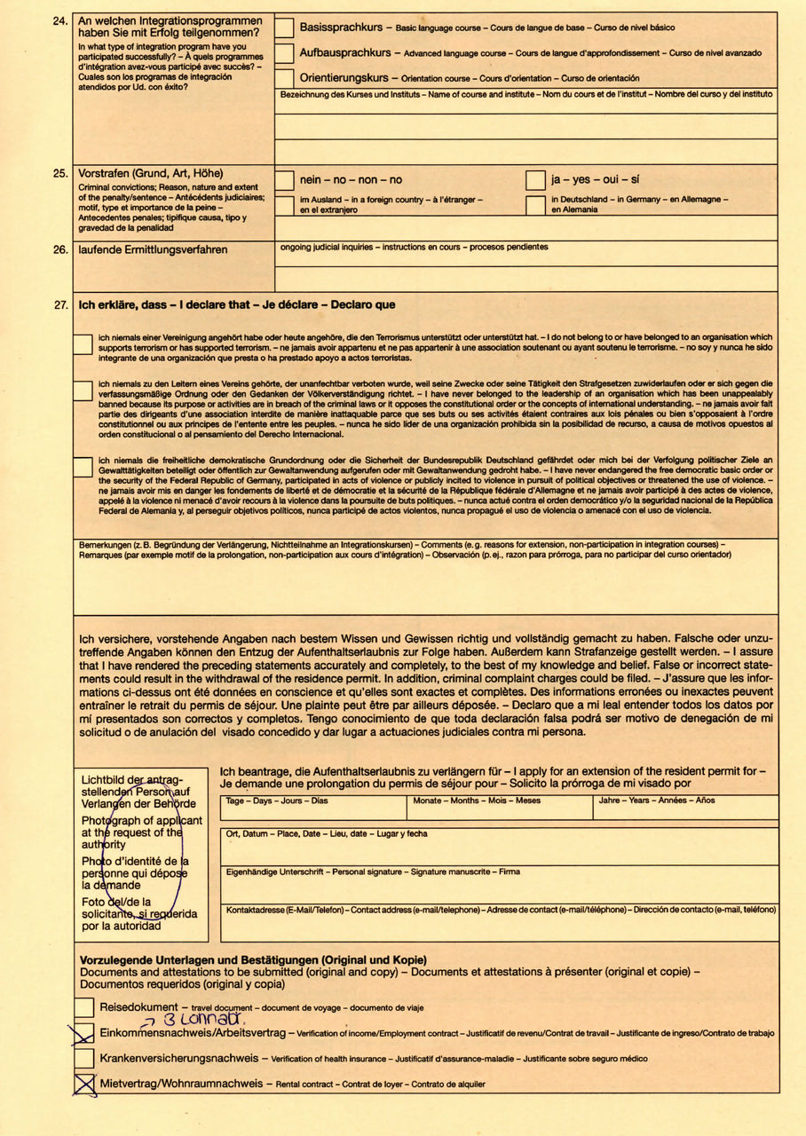
2.必要書類
申請書類以外は、オリジナルとコピーの両方を準備しておいた方がスムーズ。(コピーが出来なければ、申請時にコピーをしてもらえる。)
・ Anmeldungsfomular : 申請書類
・ Foto : 証明写真 1枚
・ Abrechnung : 給与明細3か月分(直近)
・ Arbeitsvertrag : 労働契約書
・ Mietvertrag : 賃貸契約書
・ カード発行料 : €80
申請書類はRathausのHPには落ちてないので、直接外人局へもらいに行く。そこで、必要書類についても確認しておく。参考までにこんな書式。
3.申請書類の記入例
記入内容は一般的な事ばかりなので、今までの申請経験を活かせば問題なし。(もちろん辞書を片手に。)
パスポート情報、会社情報、ドイツでの滞在情報などなど。結婚している人は、家族の情報も必要。
記入するのは3枚目まで。写真とサインをして完了!ちなみに、写真は、正面を向いて真顔の写真(普通の証明写真)じゃないと認められないので注意。
ちょっとしたミスとしては、、、前にドイツでの就活用に撮った履歴書写真(ジャケットを着て少し笑った写真)がたくさん残っていたので、それをもって行ったら、、、しっかりと "ダメ。撮り直してきてね!" と言われてしまったこと。。。当たり前なんだけど、もったいなかったので。。
4.申請へ
いつものヴュルツブルグ "Rathaus:市役所" の "Ausländerbehorde : 外人局" へ。もちろん予約なしで突入。ちなみに、整理券の取り方についてはこちら(ドイツで働く その3 転職 ; 就労ビザの変更申請)を参照。
担当者にビザの延長申請をしたいことを告げて、申請書類をすべて提出。ヴュルツブルグに来てから、ずっと同じお姉さんなのでなんだか雰囲気も穏やか。申請用紙をもらいに来た時にも会っているので、話はとてもスムーズ。記入内容も特に問題が無く(と言うより、必要書類が揃っているかどうかしかチェックしていなかったけど。。)、10分くらいで無事に申請終了。
"3週間後くらいに Online Ausweisung(インターネット上でカードのチップ情報が読み取れるサービス) の手紙が届くので、手紙が届いた2,3日後くらいに来てね。カードがヴュルツブルグに届くのにそのくらいかかるから。"
とのこと。そして、ビザの申請中であることの証明書も受け取った。
これは、現在ビザの申請中で、2-3週間のうちに新しいカードが手に入るから、それまでの間、働いていいことを証明しますよ、と言う内容。雇用主が持っておくためのもの。まぁ、今回の場合は、元の有効期限まで余裕があるからあんまり重要ではないけれども。
支払い
申請時に、支払いのカードをもらうので、受取までに市役所内の精算機で支払う必要がある。今回の延長申請ではカードも新しく発行されるので€80,00。機械での支払いについてはこちら(ヴュルツブルグの滞在許可(ビザ)申請 その2)と同じ機械がBürgerbüroに置いてある。Bürgerbüroは住民登録を行った際の部屋でこちら(ヴュルツブルグ Zellerauの住民登録)を参照。
支払うと領収書が出てくる(2枚目)。特に2枚目写真の左側:Gebührenbemarke(支払い証明書) はカード受領時に必要なので、大事に保管しておくこと。
以上で完了。とってもスムーズ。
5.手紙の受領
申請から2週間半ほど、外人局からの手紙が届く。手紙が届いたということは、ビザの発行が確実となった証拠。今回はなんとなく自信があったので心配はしていなかったけど、やっぱり一安心。
これは、オンラインでカード情報を管理するためのパスワード。
参考までに、管理するサイトはこちら"personalausweisportal.de"。
このサイトからアプリをダウンロードして使用するわけだが、、、たぶんカードリーダーが無いと使えない(と思う)。やってみたけどイマイチわからない。市役所にカードを読み込む機械があるそうなので、そこで使用する際に上のパスワードが役に立つのだろう。フライヤー(PDF)を読んだけど、あんまりメリットを感じないので、たぶん使うことは無い。。
6.カードの受取
散歩をしてみれば、桜や野花が咲き乱れ、すっかり春の陽気となっている4月6日。ビザが発行されることがわかって安心してしまったのか、受取がだいぶ遅くなってしまった。いつもの市役所の外人局へ足を向ける。
持ち物
・ Aufenthaltstitel : 旧ビザのカード
・ Zusatzblatt : ビザの付随証
・ Gebührenbemarke : 支払い証明書(カード発行代支払い時に領収証と一緒に出てきたもの)
いつもの担当者が笑みで迎えてくれる暖かい雰囲気(勝手にそう感じてるだけだろうけど…)。そして、新しいカードとのご対面。ここでやること聞かれる事は以下の通り。
・ 指紋の登録、その後サイン
・ オンラインのシステムを使用するかどうか聞かれるので、とりあえず "Ja" と言っておく
・ カードと付随証の説明を受ける
以上で終了。
手に入れた新しいカード。なんと有効期限は約2年半。1年だったら嫌だなーと思っていたので、とっても嬉しい。なぜ "2年半" と言う中途半端な期間なのかはよくわからない。半年前に就労ビザの変更申請をしたのが影響しているのかもしれない。あと、難民の件でビザが出にくくなっている、と言う話も聞いたことがあったので、尚更一安心である。
それよりも驚きな出来事が一つ。"Zusatzblatt : 付随証" の方である。もちろん、指定のお店(ボカシを入れているが、Kham Sushi Bar である。)での就労のみが許されているわけだが、、、2017年3月からはその "縛り" が無くなり、「フリーな就労ビザになる」 という事。
フリーなビザとは、、、
つまり、2017年3月以降は、ドイツのどんな会社でも働けるという事。つまり、"日本人である必要がある仕事" でなくても良いという事である。もちろん、採用してもらわないといけないわけだけど。。これがあれば、転職も自由である。
なぜ、びっくりしたかと言うと、この "フリーなビザ" は "3年働かないともらえない" と色々な人に聞いていたからである。(中には5年、と言う人もいたが。。) しかしながら今回の場合、ドイツで働きだしたのは2015年4月なので、2017年3月からフリーという事は、1年10か月くらいの就労期間でこのビザが手に入ることになるわけである。(ヴュルツブルグの友人は5年も働いているのにまだもらえていない。。。)
うだうだ書いてわかりにくいと思うが、、、。とにかくビザの審査方法・基準が良くわからない、ということ。州によって・担当者によって・タイミングによって、、、色々変わってしまうのがビザ。今回はとってもスムーズに行ったけど、今後はどうなることやら。。
とにもかくにも、外国人にとって一番大切なビザも延長できたことだし、次のステップに向けても具体化させていかなきゃなぁ。もっともっとドイツを感じながらマイペースでやっていこう。
前回の変更申請(ドイツで働く その3 転職 ; 就労ビザの変更申請)でもそうだったけど、手こずるイメージしかないビザ絡みの申請。そんな嫌気しか起きないビザ申請が、今回はとってもとってもスムーズに完了。スムーズに進んだら進んだで、ブログ情報としては物足りないのかもしれないけど、、、たまにはこんなのも無いとやってられないわけで。。そんな、ドイツでの成長を感じたビザ延長申請について書いてみたい。
就職に関する話はこちらも参照。
1.申請から受取までの日程
ビザの有効期限が4月7日。に対して以下の日程で申請を行い、期限までに無事にビザを受領できた。
1) 申請用紙受取のためにRathausへ : 3月1日
2) 延長申請 : 3月4日
3) Online用パスワード受領(手紙) : 3月21日
4) ビザ受領 : 4月6日
申請から受領まで1か月ほど。本当は、3)手紙 を受領した数日後からカードの受取が出来るので、最短では、約3週間で完了していた案件。
2.必要書類
申請書類以外は、オリジナルとコピーの両方を準備しておいた方がスムーズ。(コピーが出来なければ、申請時にコピーをしてもらえる。)
・ Anmeldungsfomular : 申請書類
・ Foto : 証明写真 1枚
・ Abrechnung : 給与明細3か月分(直近)
・ Arbeitsvertrag : 労働契約書
・ Mietvertrag : 賃貸契約書
・ カード発行料 : €80
申請書類はRathausのHPには落ちてないので、直接外人局へもらいに行く。そこで、必要書類についても確認しておく。参考までにこんな書式。
3.申請書類の記入例
記入内容は一般的な事ばかりなので、今までの申請経験を活かせば問題なし。(もちろん辞書を片手に。)
パスポート情報、会社情報、ドイツでの滞在情報などなど。結婚している人は、家族の情報も必要。
記入するのは3枚目まで。写真とサインをして完了!ちなみに、写真は、正面を向いて真顔の写真(普通の証明写真)じゃないと認められないので注意。
ちょっとしたミスとしては、、、前にドイツでの就活用に撮った履歴書写真(ジャケットを着て少し笑った写真)がたくさん残っていたので、それをもって行ったら、、、しっかりと "ダメ。撮り直してきてね!" と言われてしまったこと。。。当たり前なんだけど、もったいなかったので。。
4.申請へ
いつものヴュルツブルグ "Rathaus:市役所" の "Ausländerbehorde : 外人局" へ。もちろん予約なしで突入。ちなみに、整理券の取り方についてはこちら(ドイツで働く その3 転職 ; 就労ビザの変更申請)を参照。
担当者にビザの延長申請をしたいことを告げて、申請書類をすべて提出。ヴュルツブルグに来てから、ずっと同じお姉さんなのでなんだか雰囲気も穏やか。申請用紙をもらいに来た時にも会っているので、話はとてもスムーズ。記入内容も特に問題が無く(と言うより、必要書類が揃っているかどうかしかチェックしていなかったけど。。)、10分くらいで無事に申請終了。
"3週間後くらいに Online Ausweisung(インターネット上でカードのチップ情報が読み取れるサービス) の手紙が届くので、手紙が届いた2,3日後くらいに来てね。カードがヴュルツブルグに届くのにそのくらいかかるから。"
とのこと。そして、ビザの申請中であることの証明書も受け取った。
これは、現在ビザの申請中で、2-3週間のうちに新しいカードが手に入るから、それまでの間、働いていいことを証明しますよ、と言う内容。雇用主が持っておくためのもの。まぁ、今回の場合は、元の有効期限まで余裕があるからあんまり重要ではないけれども。
支払い
申請時に、支払いのカードをもらうので、受取までに市役所内の精算機で支払う必要がある。今回の延長申請ではカードも新しく発行されるので€80,00。機械での支払いについてはこちら(ヴュルツブルグの滞在許可(ビザ)申請 その2)と同じ機械がBürgerbüroに置いてある。Bürgerbüroは住民登録を行った際の部屋でこちら(ヴュルツブルグ Zellerauの住民登録)を参照。
支払うと領収書が出てくる(2枚目)。特に2枚目写真の左側:Gebührenbemarke(支払い証明書) はカード受領時に必要なので、大事に保管しておくこと。
以上で完了。とってもスムーズ。
5.手紙の受領
申請から2週間半ほど、外人局からの手紙が届く。手紙が届いたということは、ビザの発行が確実となった証拠。今回はなんとなく自信があったので心配はしていなかったけど、やっぱり一安心。
これは、オンラインでカード情報を管理するためのパスワード。
参考までに、管理するサイトはこちら"personalausweisportal.de"。
このサイトからアプリをダウンロードして使用するわけだが、、、たぶんカードリーダーが無いと使えない(と思う)。やってみたけどイマイチわからない。市役所にカードを読み込む機械があるそうなので、そこで使用する際に上のパスワードが役に立つのだろう。フライヤー(PDF)を読んだけど、あんまりメリットを感じないので、たぶん使うことは無い。。
6.カードの受取
散歩をしてみれば、桜や野花が咲き乱れ、すっかり春の陽気となっている4月6日。ビザが発行されることがわかって安心してしまったのか、受取がだいぶ遅くなってしまった。いつもの市役所の外人局へ足を向ける。
持ち物
・ Aufenthaltstitel : 旧ビザのカード
・ Zusatzblatt : ビザの付随証
・ Gebührenbemarke : 支払い証明書(カード発行代支払い時に領収証と一緒に出てきたもの)
いつもの担当者が笑みで迎えてくれる暖かい雰囲気(勝手にそう感じてるだけだろうけど…)。そして、新しいカードとのご対面。ここでやること聞かれる事は以下の通り。
・ 指紋の登録、その後サイン
・ オンラインのシステムを使用するかどうか聞かれるので、とりあえず "Ja" と言っておく
・ カードと付随証の説明を受ける
以上で終了。
手に入れた新しいカード。なんと有効期限は約2年半。1年だったら嫌だなーと思っていたので、とっても嬉しい。なぜ "2年半" と言う中途半端な期間なのかはよくわからない。半年前に就労ビザの変更申請をしたのが影響しているのかもしれない。あと、難民の件でビザが出にくくなっている、と言う話も聞いたことがあったので、尚更一安心である。
それよりも驚きな出来事が一つ。"Zusatzblatt : 付随証" の方である。もちろん、指定のお店(ボカシを入れているが、Kham Sushi Bar である。)での就労のみが許されているわけだが、、、2017年3月からはその "縛り" が無くなり、「フリーな就労ビザになる」 という事。
フリーなビザとは、、、
つまり、2017年3月以降は、ドイツのどんな会社でも働けるという事。つまり、"日本人である必要がある仕事" でなくても良いという事である。もちろん、採用してもらわないといけないわけだけど。。これがあれば、転職も自由である。
なぜ、びっくりしたかと言うと、この "フリーなビザ" は "3年働かないともらえない" と色々な人に聞いていたからである。(中には5年、と言う人もいたが。。) しかしながら今回の場合、ドイツで働きだしたのは2015年4月なので、2017年3月からフリーという事は、1年10か月くらいの就労期間でこのビザが手に入ることになるわけである。(ヴュルツブルグの友人は5年も働いているのにまだもらえていない。。。)
うだうだ書いてわかりにくいと思うが、、、。とにかくビザの審査方法・基準が良くわからない、ということ。州によって・担当者によって・タイミングによって、、、色々変わってしまうのがビザ。今回はとってもスムーズに行ったけど、今後はどうなることやら。。
とにもかくにも、外国人にとって一番大切なビザも延長できたことだし、次のステップに向けても具体化させていかなきゃなぁ。もっともっとドイツを感じながらマイペースでやっていこう。





















コメント
コメント一覧 (2)
うれしいコメントありがとうございます。私の友人が永住権を取った際に色々と教えてもらいましたが、実際にビザ手続きをされていた方から情報を頂けると非常に心強いですし、半年以上の帰国だと不利になることは全く知りませんでした。
現状私自身が学生ビザなこともあって、就労ビザの事をあまり考えていなかった、と言うのが正直なところです。就労ビザの事について(私なりの)最終的なまとめを書こうと思って早数年。。まとめを書く際に、頂いた情報を使わせて頂こうと思います。ありがとうございます。あと7か月、待ち遠しいですね。あの面倒な外人局に行かなくてすむ事がうらやましい限りです。
今後もお時間のある時にブログを覗いてもらえると嬉しいです。今後ともよろしくお願いします。